1. 标题
· Contributions of Climate Change and Human Activities to Drought Extremes, Using an Improved Evaluation Framework
· 基于copula突变点监测评估气候变化和人类活动对金沙江流域干旱现象的影响
2. 成果信息
· Zhu, S., Xu, Z., Luo, X., Wang, C., & Zhang, H. (2019). Quantifying the Contributions of Climate Change and Human Activities to Drought Extremes, Using an Improved Evaluation Framework. Water Resources Management, 1-15.
· //link_springer.xilesou.top/article/10.1007/s11269-019-02413-6 (DOI:10.1007/s11269-019-02413-6)
· 项目支持:国家自然科学基金青年科学基金(51809242)
3. 成果团队成员
· 朱双,中国地质大学(武汉)电影网站
,水文水资源专业,研究变化环境下水循环和极端水文事件,联系方式:zhushuang@dywebsite.com
· 徐战亚,中国地质大学(武汉)电影网站
· 罗显刚(通讯作者),中国地质大学(武汉)电影网站
· 王超,中国水利水电科学研究院流域水循环模拟与调控国家重点实验室
· 张海荣,中国长江电力股份有限公司水资源管理部
4. 成果介绍
干旱形成受自然因素和人为因素影响,气候变化通过降水、气温、湿度、日照、辐射和风速等气象要素直接或间接改变区域水分收入项和支出项;人类活动一方面通过开发地表水、开采地下水、人工灌溉、修建跨流域调水及拦河大坝工程等途径直接干扰水循环系统,另一方面通过改变土地利用类型、植被覆盖程度等方式改变下垫面,影响水循环的天然运动规律。气候变化和人类活动对水文过程的影响同时存在且交织耦合,共同构成了干旱演变的驱动力系统。根据流域复杂环境识别水循环系统天然时期和气候变化以及人类活动主要影响时期,以期分离气候变化和人类活动驱动作用是研究变化环境下干旱演变机理及生态影响的首要任务。非参数 Mann-Kendall 等统计检验法具有无需样本遵循一定分布、不受少数异常值干扰的特点,常用于时间序列趋势分析和变异识别。然而此类方法给出气候变化和人类活动综合影响下的气象水文要素独立结构变异,不能深入剖析流域产汇流过程高维相依结构变异。确定水文过程中降雨-蒸发-径流的多元结构突变,能更精确的揭示水循环的变化。另一方面,水文极端灾害,如每50年或100年发生一次的干旱和洪水在世界范围内频现。通过假设广义极值模型的形状和尺度参数随时间或气候变量变化,可以衡量干旱的线性、非线性、平稳和非平稳演变。本文建立了一个模型框架来量化变化环境下的极端水文干旱事件的演变和驱动机制。方法包括标准化径流指数构建、变点检验、广义极值模拟,返回年分析和气候变化影响的评估。
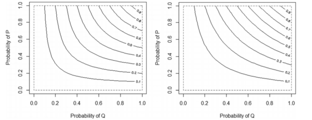
获取金沙江流域1957年以来枯水期月径流序列和降雨序列,采用在水文分析中广泛应用的伽马分布,正态分布和对数正态分布模拟降雨二和径流的边缘分布。通过比较AIC值,确定对数正态分布和伽马分布作为径流和降水的边际分布。选择阿基米德copula模拟降水与径流的依赖结构,这种方法考虑了分布的上尾依赖,适用于水文和气象变量的联合分布构建。利用最大似然法和Nelder-Mead算法对copula模型进行优化。根据变异假设检验,降水-径流之间依赖结构的变化点为1995年。图1是变点前后的降雨-径流二元结构,

图1 变点前后降雨-径流联合分布概率
依据变点,训练人工神经网络重构天然的径流序列。采用非平稳的广义极值模型拟合实际和重构的标准径流指数(SRI)。提取实际SRI序列和重构SRI序列的0.1、0.5、0.9、0.95、0.98和0.99分位数和SRI样本点。

图2 非平稳SRI干旱指数,观测序列(左),重构序列(右)
应用极值事件返回年分析和气候变化影响的评估方程,计算气候变化和人类活动对极端的影响。图2黑点代表突变前后极端干旱事件0.1、0.5、0.9、0.95、0.98和0.99分位数变化,红点代表由气候变化诱发的变化,蓝点代表人类活动引起的变化。总体而言长江源头地区干旱倾向于缓和。而人类活动对此贡献较大。
图3 气候变化和人类活动对极端干旱事件的影响